|
Here's a
sample process, represented in a typical FlowChart method. This
sort of process can occur many times during the course of a day,
even in a small business.
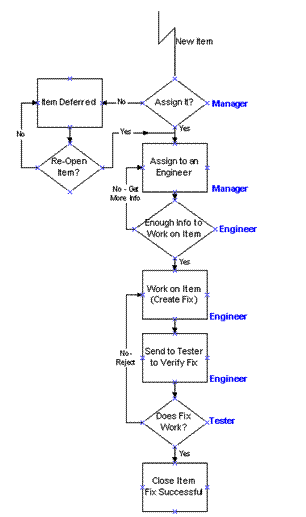
Simply:
An issue occurs. A manager decides whether to assign it or defer
it. Once assigned the person working it (in this case an engineer)
decides if they have enough information to work on it. If not, the
enginner goes back upstream to get more information (Waste of the
Process Itself). When the engineer has enough information, he/she
creates the fix. Then the engineer sends it on to the tester to
verify the fix works. If the fix doesn't work, it goes back to the
engineer to re-work the fix. Once the fix is proven, the issue is
closed.
This
process is somewhat generic. The issue can be a technical problem
with a product, or if the "owners" were changed, it could
be a customer service rep handling a customer service issue.
Here's
the flowchart for this generic, sample process:

|